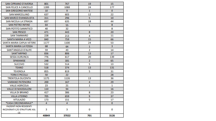
08/02. Coronavirus in Prov. di Caserta. Sono 102 i nuovi casi positivi. I dati Comune per Comune






Articolo pubblicato il: 08/02/2021 15:10:44

Questi i dati dell'Asl di Caserta

RUOTA IL TELEFONO PER VEDERE BENE