09/01. Coronavirus in Prov. di Caserta. A Maddaloni il più alto numero di positivi. I dati Comune per Comune






Articolo pubblicato il: 09/01/2021 15:50:27

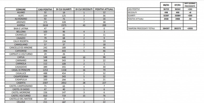
Questi i dati dell'Asl di Caserta:

RUOTA IL TELEFONO PER VEDERE BENE