1/12. Agg. Coronavirus Prov. CE. Dati Comune per Comune






Articolo pubblicato il: 02/12/2020 11:24:38

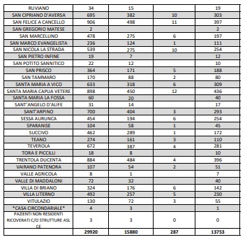
Questo quanto pubblicato dall'ASL Caserta

 

ruota il telefono per vedere bene