1/4. Covid Prov. Ce. 382 NUOVI POSITIVI e 11 DECEDUTI






Articolo pubblicato il: 01/04/2021 16:42:56

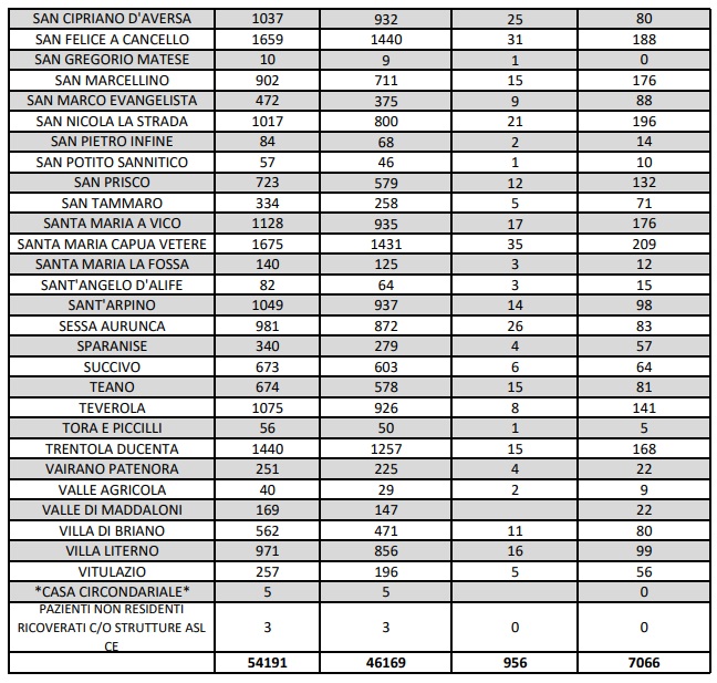
Questo quanto apprendiamo dall'ASL Caserta

ruota il telefono per vedere bene