1/9. Registrati 61 nuovi casi Covid nella Prov. di Ce. Dati Comune per Comune






Articolo pubblicato il: 01/09/2021 15:12:02

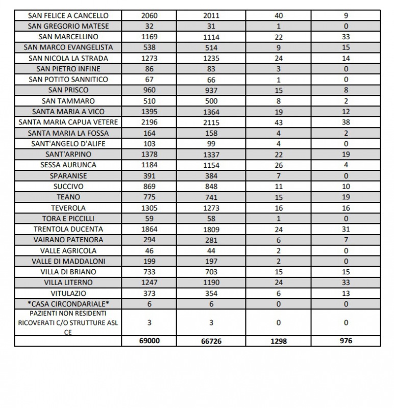
Questa la nota dell'ASL Caserta:

RUOTA IL TELEFONO PER VEDERE BENE