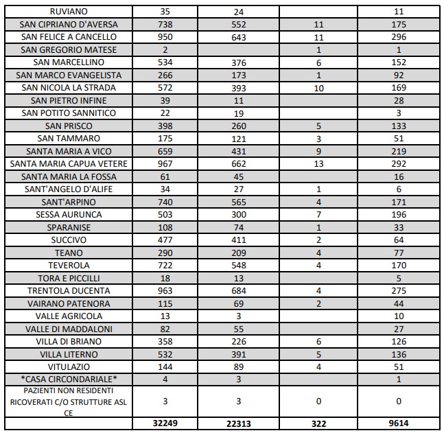
10/12. Agg. COVID Prov. Ce. Salgono ancora i guariti: 432. 204 nuovi positivi e 2 deceduti. Dati ASL Comune per Comune






Articolo pubblicato il: 10/12/2020 15:09:49

Questo quanto pubblicato dall'ASL Caserta

 

ruota il telefono per vedere bene