10/5. Coronavirus in Prov. di Ce. Si registrano 5 decessi e 168 nuovi casi. I dati Comune per Comune






Articolo pubblicato il: 10/05/2021 17:07:38

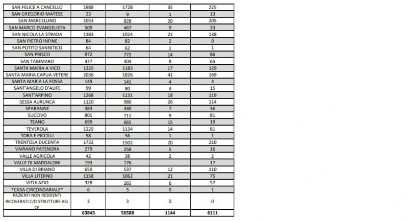
Questi i dati dell'Asl di Caserta

RUOTA IL TELEFONO PER VEDERE BENE