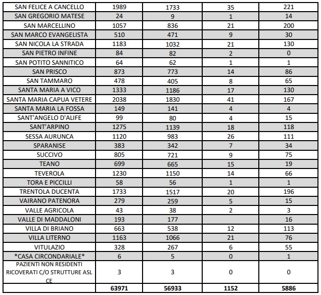
Questo quanto apprendiamo dall'ASL Caserta
ruota il telefono per vedere bene




Potrebbe interessarti anche: ORE 15. CE. ASTRA DAY. Vaccinati 1500 giovani da stamattina (goldwebtv.it)
GoldWebTV è anche su WhatsApp! Iscriviti al canale per avere le ultime notizie direttamente sul tuo telefonino!