12/10. Covid Prov. Ce. A Marcianise 92 positivi, segue Aversa con 78






Articolo pubblicato il: 12/10/2021 15:24:29

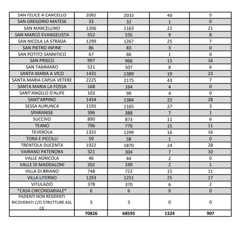
Questa la nota dell'ASL Caserta:

RUOTA IL TELEFONO PER VEDERE BENE