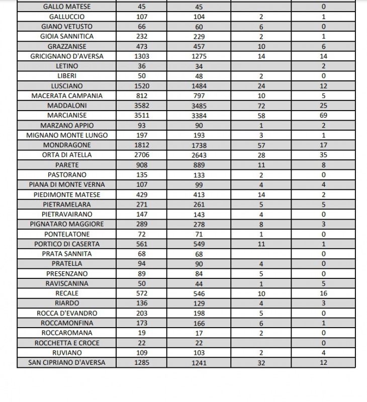
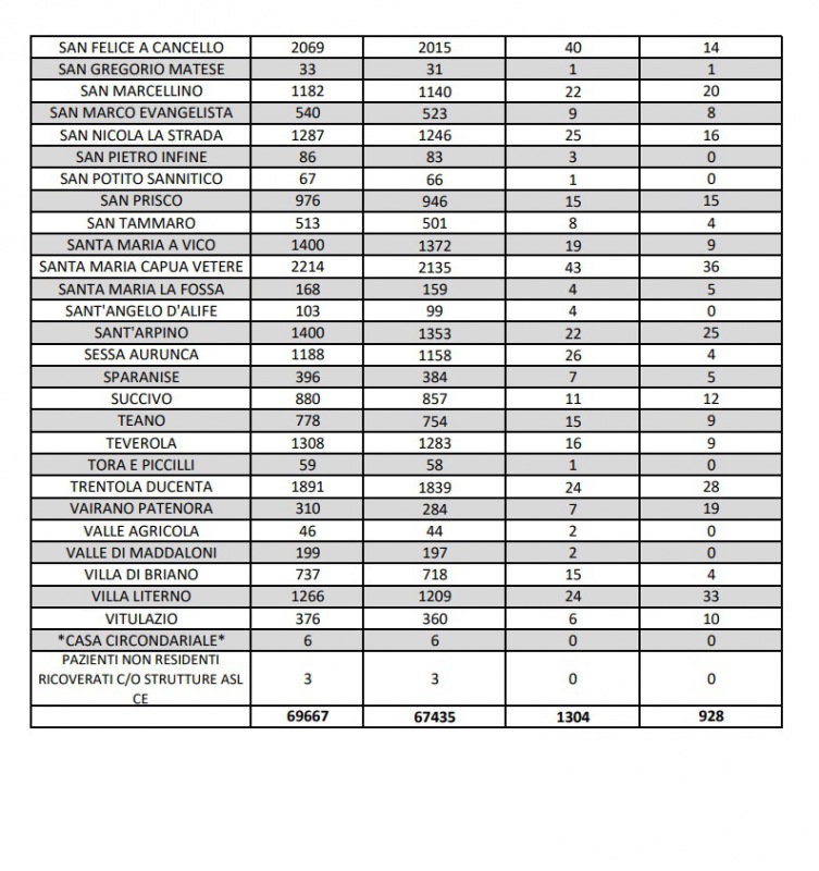
Questa la nota dell'ASL Caserta:
RUOTA IL TELEFONO PER VEDERE BENE




POTREBBE INTERESSARTI ANCHE: CASERTANO IN LUTTO. "Lavoratrice apprezzata e stimata da tutti. Alla famiglia profondo cordoglio" (goldwebtv.it)
GoldWebTV è anche su WhatsApp! Iscriviti al canale per avere le ultime notizie direttamente sul tuo telefonino!