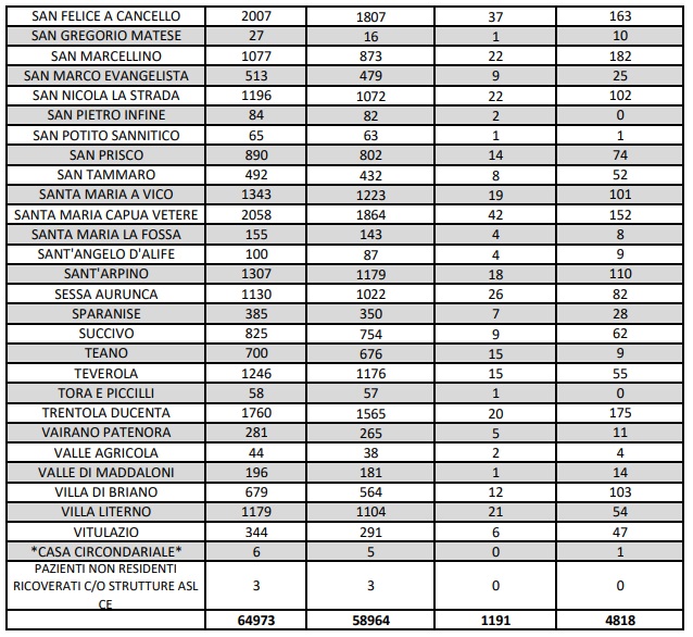
Questo quanto apprendiamo dall'ASL Caserta
ruota il telefono per vedere bene




Potrebbe interessarti anche: AVVISO. Campagna vaccinale Covid 19 Asl Caserta. Ecco come chiedere info e richieste (goldwebtv.it)
GoldWebTV è anche su WhatsApp! Iscriviti al canale per avere le ultime notizie direttamente sul tuo telefonino!