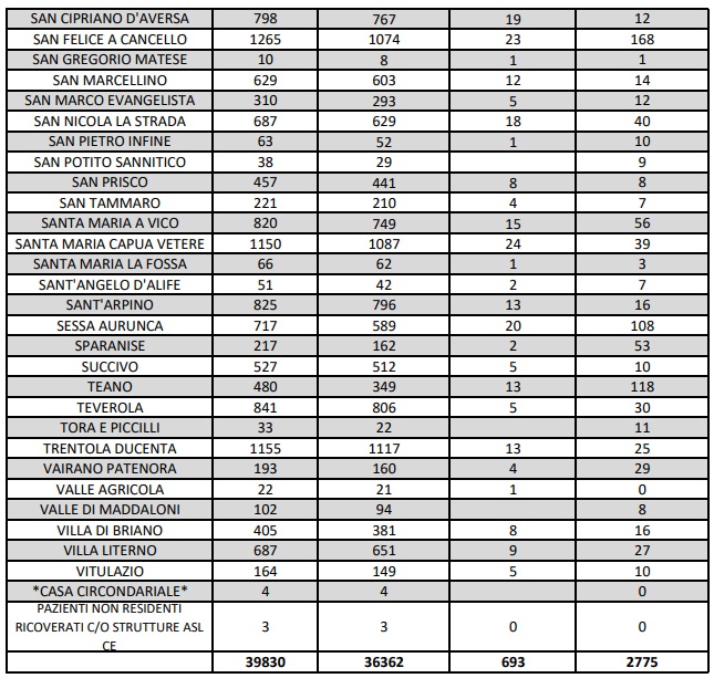
2/2. Covid Prov. Ce. I guariti sono più dei nuovi positivi. Dati ASL Comune per Comune






Articolo pubblicato il: 02/02/2021 15:37:51

Questo quanto apprendiamo dall'ASL Caserta

 

ruota il telefono per vedere bene