2/3. Covid Prov. Ce. +223 positivi. Quasi 400 a Caserta, quasi 300 a Maddaloni, 200 ad Aversa






Articolo pubblicato il: 02/03/2021 16:34:49

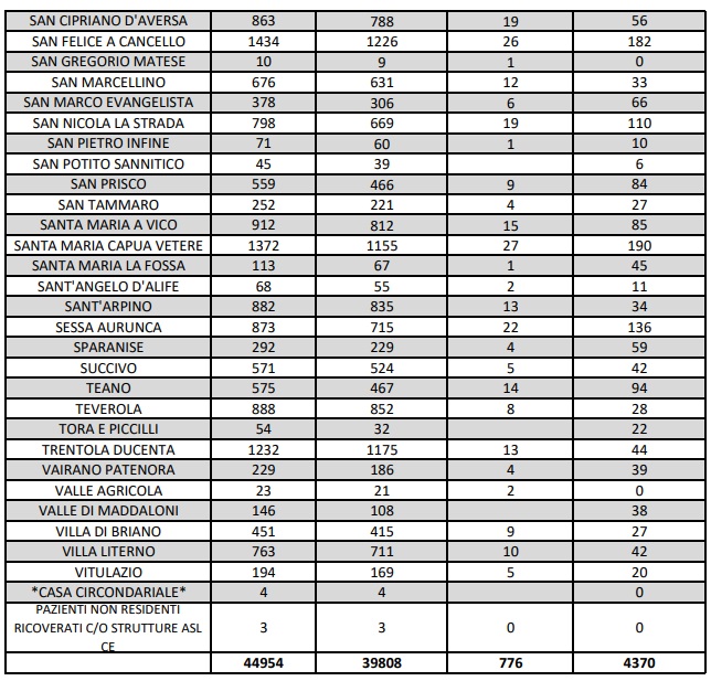
Questo quanto apprendiamo dall'ASL Caserta

 

ruota il telefono per vedere bene