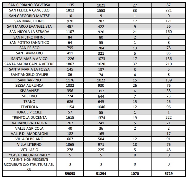
20/4. Covid Prov. Ce. Più guariti (246) che nuovi positivi (175), ma ancora 9 decessi






Articolo pubblicato il: 20/04/2021 15:01:07

Questo quanto apprendiamo dall'ASL Caserta

ruota il telefono per vedere bene