22/01. Coronavirus in Prov. di Caserta. Registrati 8 nuovi decessi ma il totale degli attuali positivi continua a scendere






Articolo pubblicato il: 22/01/2021 14:12:06

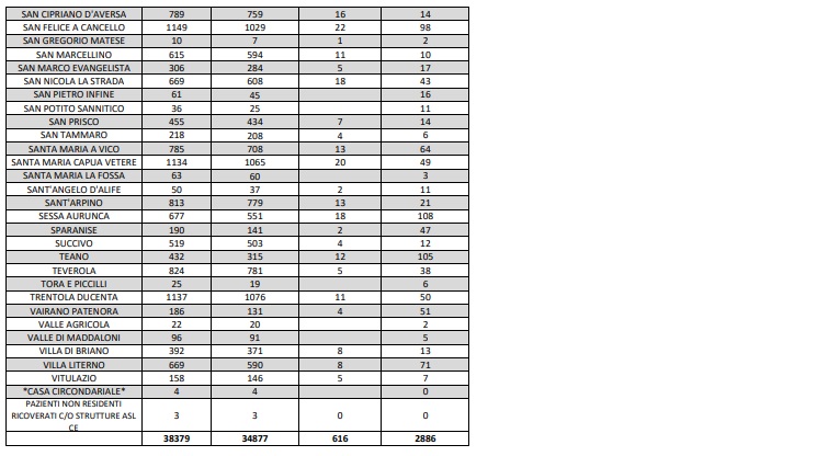
Questi i dati dell'Asl di Caserta:

RUOTA IL TELEFONO PER VEDERE BENE