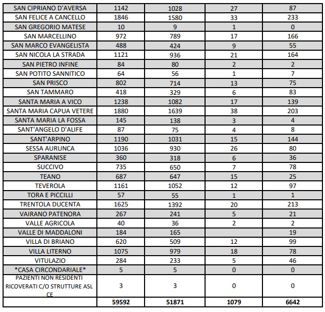
Questo quanto apprendiamo dall'ASL Caserta
ruota il telefono per vedere bene




Potrebbe interessarti anche: CE. Puc. Io Firmo per Caserta a colloquio con gli architetti Pica Ciamarra e Bottaro
GoldWebTV è anche su WhatsApp! Iscriviti al canale per avere le ultime notizie direttamente sul tuo telefonino!