23/1. Covid Prov. CE. A Maddaloni 283 positivi, segue Mondragone con 190. Dati Comune per Comune






Articolo pubblicato il: 23/01/2021 15:25:25

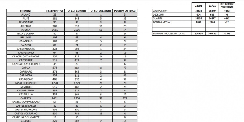
Questi i dati dell'Asl di Caserta:

RUOTA IL TELEFONO PER VEDERE BENE