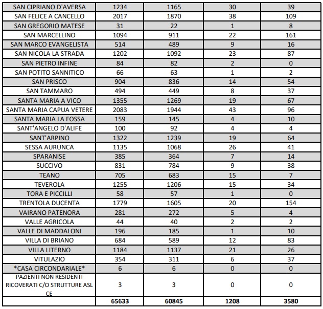
Questo quanto apprendiamo dall'ASL Caserta
ruota il telefono per vedere bene




potrebbe interessarti anche: CE/Marcianise. Patrimonio culturale. Restituiti un presepe e due dipinti religiosi. La nota dei Cc (goldwebtv.it)
GoldWebTV è anche su WhatsApp! Iscriviti al canale per avere le ultime notizie direttamente sul tuo telefonino!