27/10. 2 decessi e casi Covid in aumento in Prov di Ce. Dati Comune per Comune






Articolo pubblicato il: 27/10/2021 16:52:43

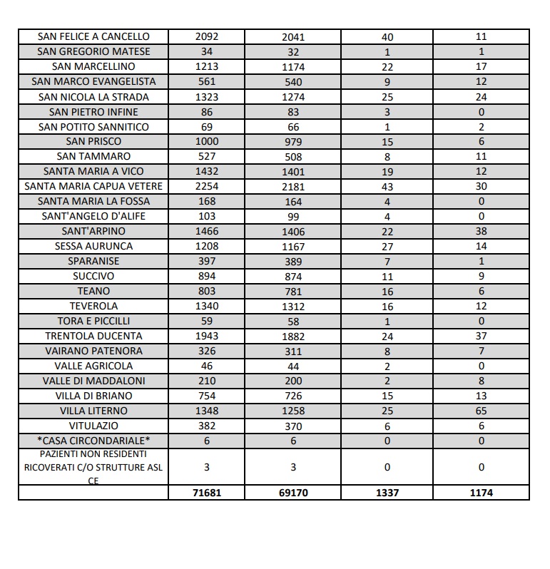
Questa la nota dell'ASL Caserta:

RUOTA IL TELEFONO PER VEDERE BENE