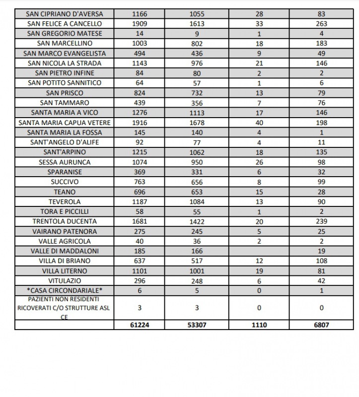
Questa la nota dell'ASL Caserta:
RUOTA IL TELEFONO PER VEDERE BENE




POTREBBE INTERESSARTI ANCHE: 'Lutto nel Casertano. "Ciao Salvatore, grande persona, padre e marito esemplare"'
GoldWebTV è anche su WhatsApp! Iscriviti al canale per avere le ultime notizie direttamente sul tuo telefonino!