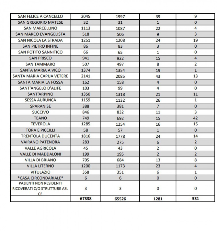
Questa la nota dell'ASL Caserta:
RUOTA IL TELEFONO PER VEDERE BENE




POTREBBE INTERESSARTI ANCHE: LUTTO nell'Agro Aversano. "Un fulmine a ciel sereno apprendere della sua dipartita" (goldwebtv.it)
GoldWebTV è anche su WhatsApp! Iscriviti al canale per avere le ultime notizie direttamente sul tuo telefonino!