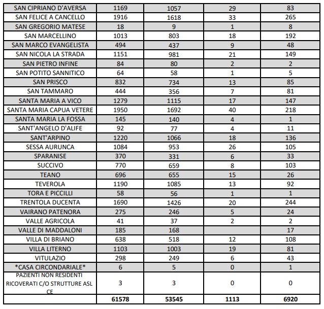
Questo quanto apprendiamo dall'ASL Caserta
ruota il telefono per vedere bene




Potrebbe interessarti anche: Valle di Maddaloni. Inaugurata lapide commemorativa della cittadinanza onoraria al Milite Ignoto
GoldWebTV è anche su WhatsApp! Iscriviti al canale per avere le ultime notizie direttamente sul tuo telefonino!