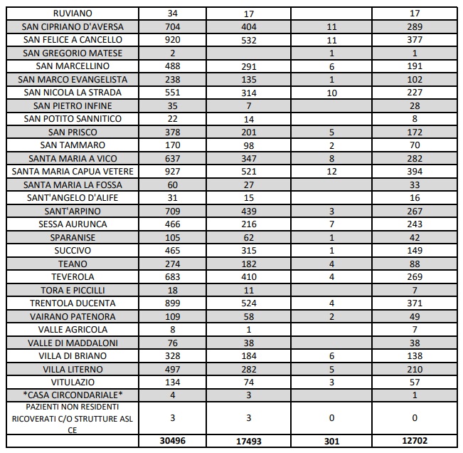
3/12. Agg. Coronavirus Prov. CE. 705 NUOVI GUARITI e solo 212 NUOVI POSITIVI. Dati ASL Comune per Comune






Articolo pubblicato il: 03/12/2020 15:54:45

Questo quanto pubblicato dall'ASL Caserta

 

ruota il telefono per vedere bene