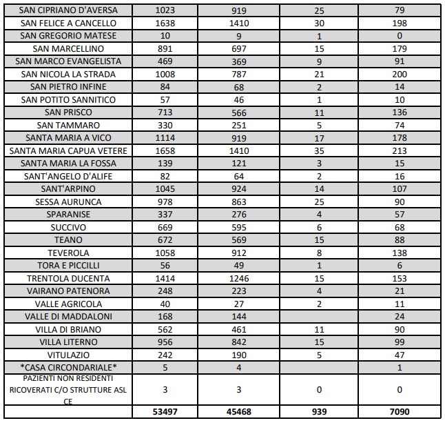
Questo quanto apprendiamo dall'ASL Caserta
ruota il telefono per vedere bene
16-04-2026 16:03
12-04-2026 14:54
10-04-2026 18:51
31-03-2026 10:12
31-03-2026 09:15
20-03-2026 19:27
18-03-2026 18:47
16-03-2026 13:17
13-03-2026 16:55
15-03-2026 14:04
08-03-2026 09:56
07-03-2026 22:35
04-03-2026 15:14
04-03-2026 12:30
GoldWebTv è On Air su Facebook
GoldWebTV è anche su WhatsApp! Iscriviti al canale per avere le ultime notizie direttamente sul tuo telefonino!