31/3. Covid Prov. Ce. Aumentano i POSITIVI: 312 in 24 ore. Caserta a 605, Maddaloni 513, Marcianise 486






Articolo pubblicato il: 31/03/2021 15:20:21

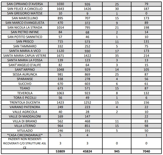
Questo quanto apprendiamo dall'ASL Caserta

ruota il telefono per vedere bene