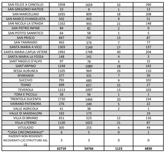
Questo quanto apprendiamo dall'ASL Caserta
ruota il telefono per vedere bene




Potrebbe interessarti anche: Marcianise. Gran successo del "free vaccine": 2478 giovani under 30 vaccinati. L'Asl: "La formula si ripeterà"
GoldWebTV è anche su WhatsApp! Iscriviti al canale per avere le ultime notizie direttamente sul tuo telefonino!