5/10. Registrati 2 decessi e 25 nuovi casi Covid in Prov. di Ce. Dati Comune per Comune






Articolo pubblicato il: 05/10/2021 18:17:09

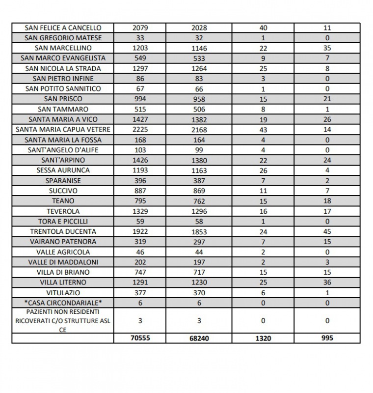
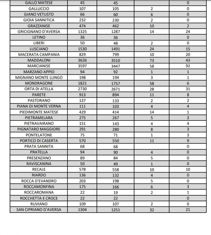
Questa la nota dell'ASL Caserta:

RUOTA IL TELEFONO PER VEDERE BENE