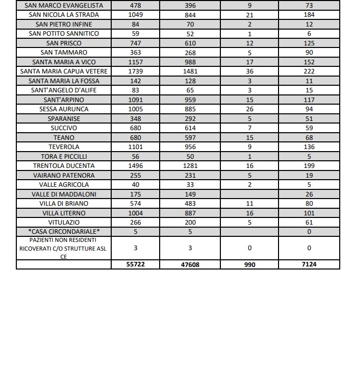
Questa la nota dell'ASL Caserta:
RUOTA IL TELEFONO PER VEDERE BENE




POTREBBE INTERESSARTI ANCHE: 'Napoletano in LUTTO. "Un forte dolore che colpisce tutta la comunità. Che la terra gli sia lieve"'
GoldWebTV è anche su WhatsApp! Iscriviti al canale per avere le ultime notizie direttamente sul tuo telefonino!