9/12. Agg. Covid Prov. CE. 1 DECESSO, 590 guariti e 300 nuovi positivi. Dati ASL Comune per Comune






Articolo pubblicato il: 09/12/2020 16:34:45

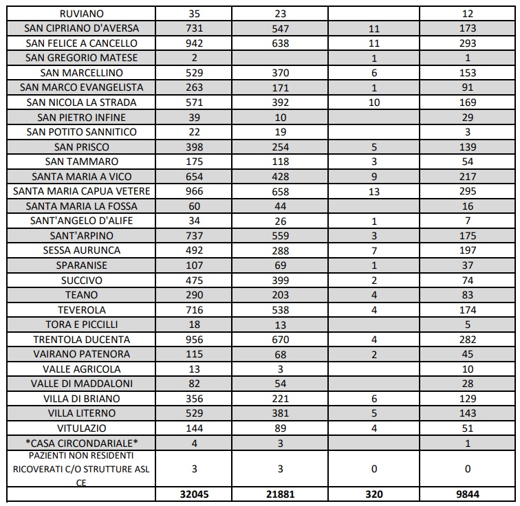
Questo quanto pubblicato dall'ASL Caserta

 

ruota il telefono per vedere bene