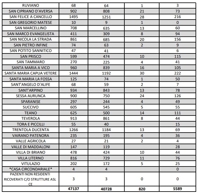
9/3. Covid in Prov. Ce. Aumentano i positivi, a Caserta 488, Maddaloni 385, Aversa 289, Marcianise 262, SMCV 222






Articolo pubblicato il: 09/03/2021 14:46:43

Questo quanto apprendiamo dall'ASL Caserta

 

ruota il telefono per vedere bene