ASL CE. 63 NUOVI POSITIVI. A Marcianise 97 casi, seguono Aversa, C. di Principe e Caserta






Articolo pubblicato il: 07/10/2021 17:22:09

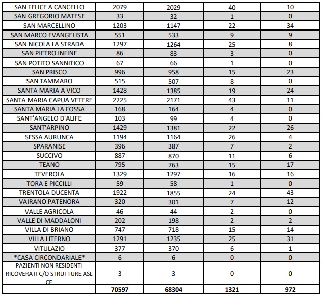
Questo quanto apprendiamo dall'ASL CE

ruota il telefono per vedere bene