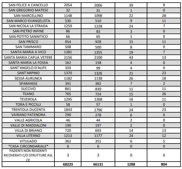
ASL CE. Sono 50 i nuovi casi positivi al Covid. I dati Comune per Comune






Articolo pubblicato il: 18/08/2021 11:54:43

Questo quanto apprendiamo dall'ASL Caserta

ruota il telefono per vedere bene