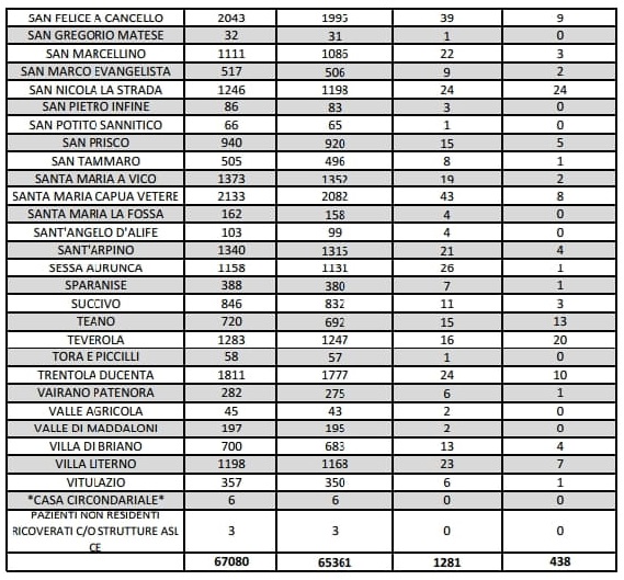
Questo il report sulla situazione epidemiologica in Provincia di Caserta da poco pubblicato sul sito web dell'Asl locale


POTREBBE INTERESSARTI ANCHE: LUTTO in Campania. "La sua memoria resterà vivida nel cuore di chi lo ha conosciuto" (goldwebtv.it)
GoldWebTV è anche su WhatsApp! Iscriviti al canale per avere le ultime notizie direttamente sul tuo telefonino!