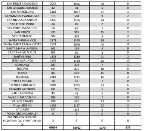
Questo il report sulla situazione epidemiologica in Provincia diffuso poco fa dall'Asl Caserta sul suo sito Web. I contagi sono ancora in forte calo ma, come dichiarato dal Direttore generale dell'Asl Russo stamane, si sono registrati due casi di variante Delta.



GoldWebTV è anche su WhatsApp! Iscriviti al canale per avere le ultime notizie direttamente sul tuo telefonino!