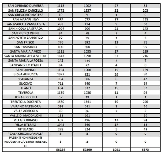
Pubblicato l'aggiornamento quotidiano sull'andamento dell'epidemia in provincia. Questi i dati diffusi dal sito web dell'Asl Caserta



GoldWebTV è anche su WhatsApp! Iscriviti al canale per avere le ultime notizie direttamente sul tuo telefonino!