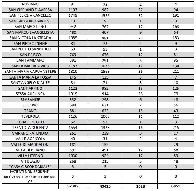
Covid. Dati ASL per Comune prov. Ce. 340 guariti ma altri 241 nuovi positivi






Articolo pubblicato il: 13/04/2021 14:55:21

Questo quanto apprendiamo dall'ASL Caserta

ruota il telefono per vedere bene