Covid Prov. Ce. Una buona notizia: nessun nuovo decesso. Resta Caserta la città con più positivi






Articolo pubblicato il: 29/06/2021 16:09:17

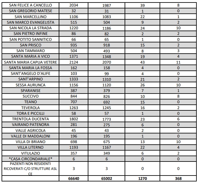
Questo quanto apprendiamo dall'ASL Caserta

ruota il telefono per vedere bene