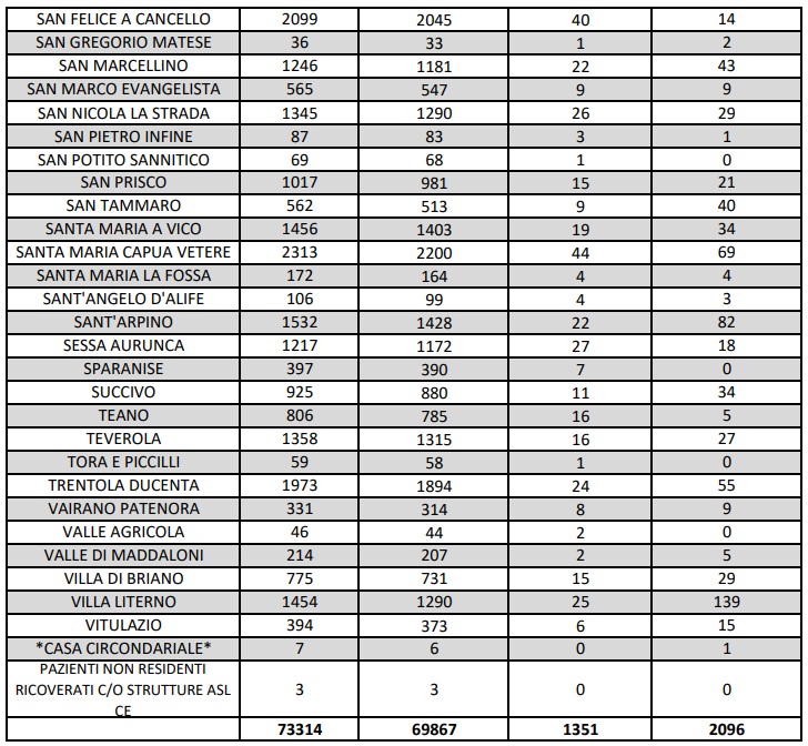
11/11. ASL CE. Aumentano ancora i positivi. Marcianise con più casi, poi Aversa, Caserta






Articolo pubblicato il: 11/11/2021 15:54:08

Questo quanto apprendiamo dall'ASL CE

RUOTA IL TELEFONO PER VEDERE BENE