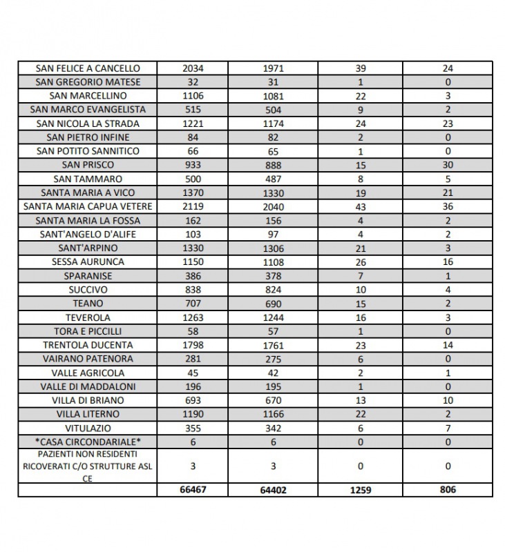
16/6. Registrati 37 nuovi casi Covid nella Prov. di Ce. Dati Comune per Comune






Articolo pubblicato il: 16/06/2021 14:46:15

Questa la nota dell'ASL Caserta:

RUOTA IL TELEFONO PER VEDERE BENE