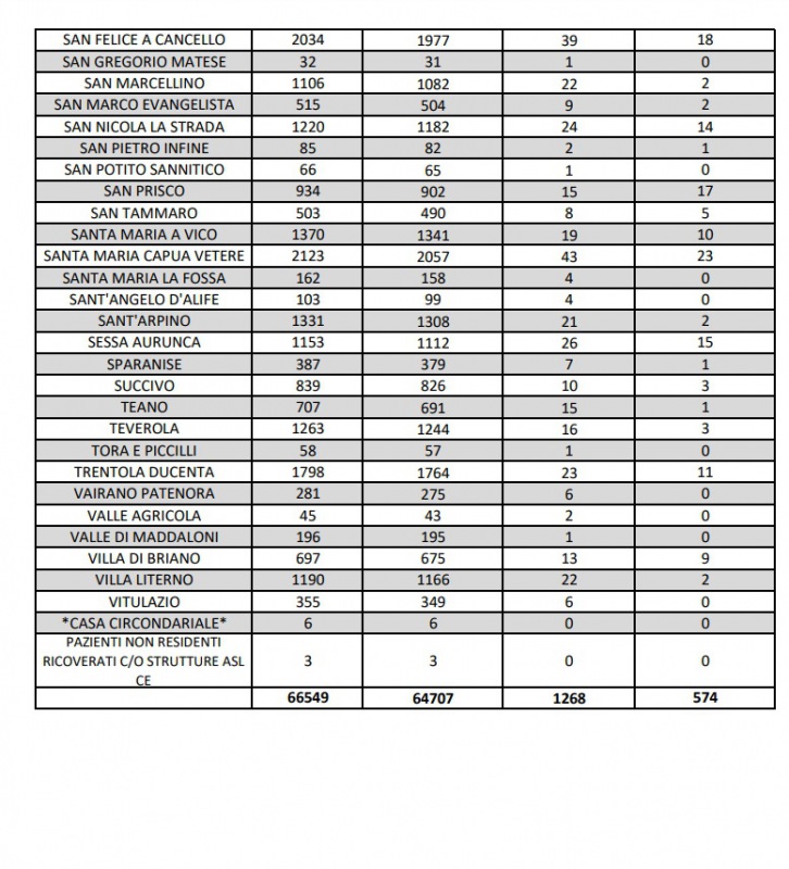
20/6. Registrati 21 nuovi casi Covid a fronte di 81 guariti in Prov. di Ce. Dati Comune per Comune






Articolo pubblicato il: 20/06/2021 14:50:25

Questa la nota dell'ASL Caserta:

RUOTA IL TELEFONO PER VEDERE BENE