21/9. Registrati 2 decessi e 19 nuovi casi Covid in Prov. di Ce. Dati Comune per Comune






Articolo pubblicato il: 21/09/2021 15:26:25

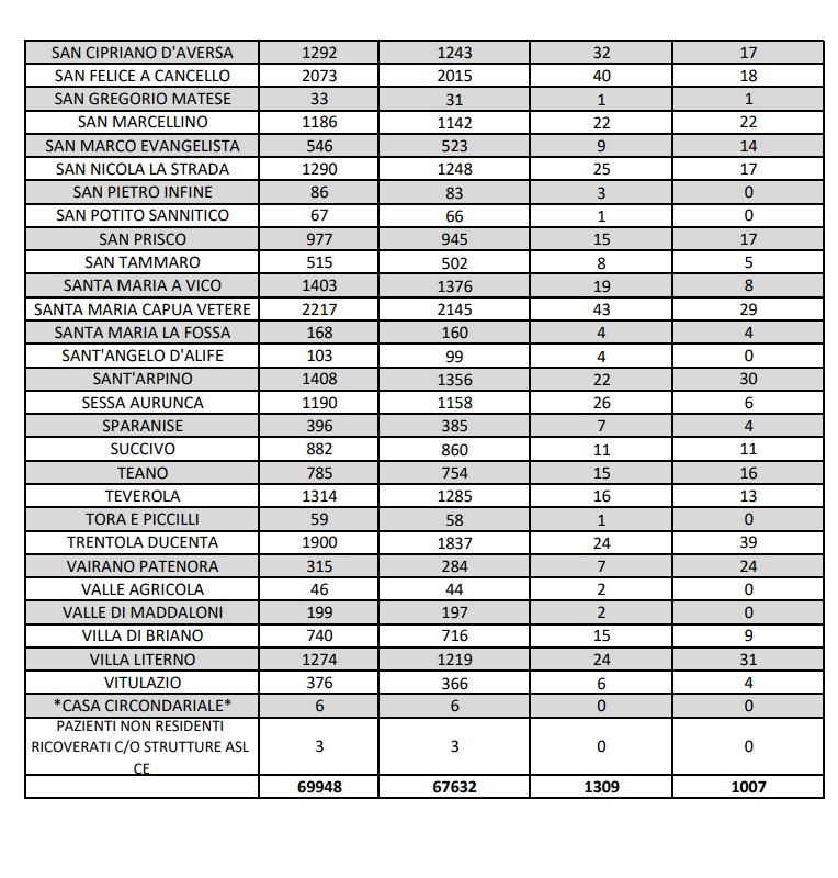
Questa la nota dell'ASL Caserta:

RUOTA IL TELEFONO PER VEDERE BENE