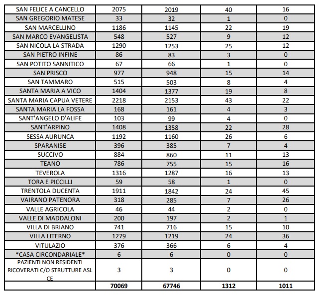
Questo quanto apprendiamo dall'ASL CE:
ruota il telefono per vedere bene
31-03-2026 10:12
31-03-2026 09:15
20-03-2026 19:27
18-03-2026 18:47
16-03-2026 13:17
13-03-2026 16:55
15-03-2026 14:04
08-03-2026 09:56
07-03-2026 22:35
04-03-2026 15:14
04-03-2026 12:30
27-02-2026 15:17
26-02-2026 14:25
21-02-2026 13:01
GoldWebTv è On Air su Facebook
GoldWebTV è anche su WhatsApp! Iscriviti al canale per avere le ultime notizie direttamente sul tuo telefonino!