27/8. 34 nuovi casi Covid registrati nella Prov. di Ce. Dati Comune per Comune






Articolo pubblicato il: 27/08/2021 15:56:39

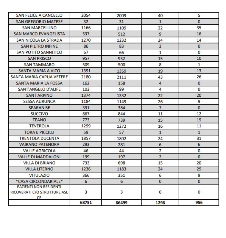
Questa la nota dell'ASL Caserta:

RUOTA IL TELEFONO PER VEDERE BENE