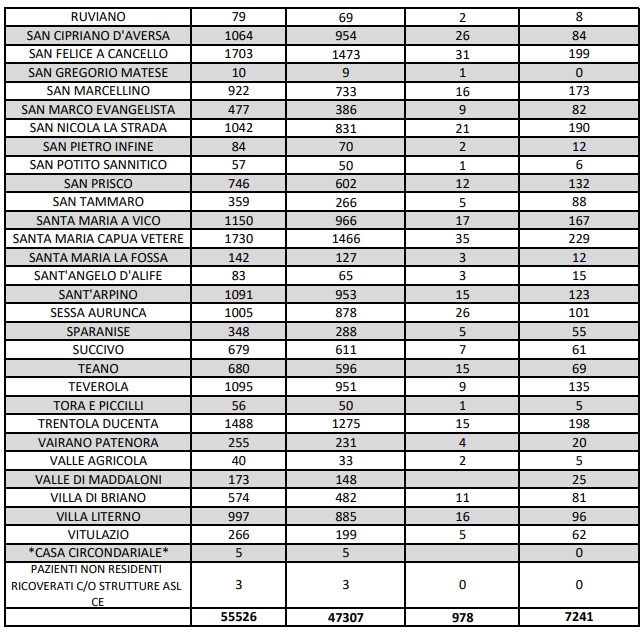
Questo quanto apprendiamo dalla pagina fb dell'ASL Caserta
ruota il telefono per vedere bene




Potrebbe interessarti anche: Marcianise. Riapertura asilo nido d'ambito. "Opportuno sottoporre bambini al tampone"
GoldWebTV è anche su WhatsApp! Iscriviti al canale per avere le ultime notizie direttamente sul tuo telefonino!