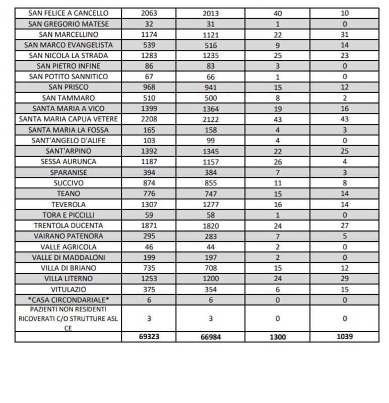
Questa la nota dell'ASL di Caserta:
RUOTA IL TELEFONO PER VEDERE BENE




POTREBBE INTERESSARTI ANCHE: Alto Casertano in LUTTO. "Sarà ricordata per la sua giovialità e disponibilità" (goldwebtv.it)
GoldWebTV è anche su WhatsApp! Iscriviti al canale per avere le ultime notizie direttamente sul tuo telefonino!