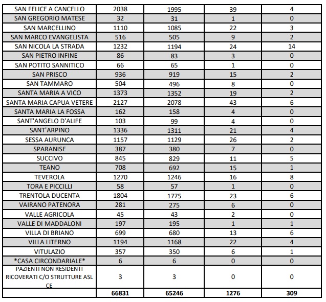
Questo quanto apprendiamo dall'ASL Caserta
ruota il telefono per vedere bene




POTREBBE INTERESSARTI ANCHE: Piange il casertano. "Notizia che mai avremmo voluto ricevere. Resterà nel cuore di tutti" (goldwebtv.it)
GoldWebTV è anche su WhatsApp! Iscriviti al canale per avere le ultime notizie direttamente sul tuo telefonino!