ASL CE. Sono 46 i NUOVI POSITIVI. Salgono i casi a C.Volturno






Articolo pubblicato il: 26/08/2021 15:44:29

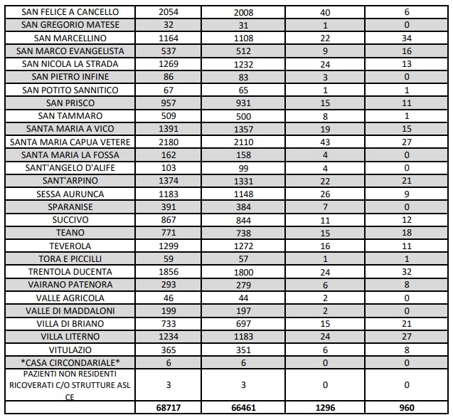
Questo quanto apprendiamo dall'ASL Caserta

ruota il telefono per vedere bene