Di seguito, il testo del comunicato del Comune di Caserta, giunto in redazione:
"CONTROLLI SOLAI E CONTROSOFFITTI SCUOLE 27 PLESSI CITTADINI NEL PIANO STRAORDINARIO DEL MIUR
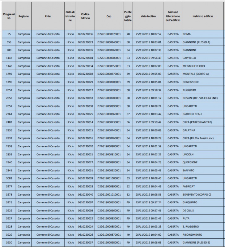
Anche Caserta rientra nel Piano Straordinario di prevenzione dei crolli di solai e controsoffitti nelle scuole, attivato dal Ministero dell’Istruzione, dell’Università e della Ricerca. Son ben 27 i plessi scolastici cittadini, di proprietà comunale, che saranno oggetto di verifiche straordinarie. I finanziamenti, per circa 200mila euro totali, sono stati ottenuti dal Comune di Caserta grazie alla partecipazione-spiega la nota- nei mesi scorsi al bando del MIUR che ha reso disponibili risorse per oltre 65 milioni di euro per i controlli. Con i fondi ottenuti, il Comune avvierà verifiche specifiche su solai e controsoffitti delle scuole comunali che consentiranno di avere un quadro completo della situazione. -spiega la nota-Ove saranno rilevate specifiche criticità ci sarà la possibilità di accedere ad ulteriori finanziamenti (in totale 25 milioni e 900 mila euro) che il Ministero ha stanziato per “interventi urgenti che si dovessero rendere necessari a seguito delle verifiche”. “Abbiamo immediatamente partecipato al bando del Ministero per il valore dell’iniziativa – ha spiegato l’assessore all’Edilizia Scolastica Alessandro Pontillo - che-spiega la nota- sta nella qualità tecnica dei controlli previsti e nella visione, focalizzata su un presente e futuro di sicurezza per i nostri bambini e ragazzi. La verifica degli edifici scolastici, in questo caso a partire dai solai e dai controsoffitti, è una operazione necessaria per le nostre scuole. -spiega la nota-Un controllo straordinario a tappeto consentirà di rilevare eventuali criticità prima che il danno sia più evidente e pericoloso. L’obiettivo prioritario – ha concluso Pontillo - non è intervenire dopo una infiltrazione o una caduta di una porzione di intonaco, ma evitare, con la prevenzione, che ciò avvenga”.
(ruota il telefono per leggere correttamente)

GoldWebTV è anche su WhatsApp! Iscriviti al canale per avere le ultime notizie direttamente sul tuo telefonino!