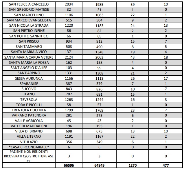
Covid Prov. Ce. 21 positivi su 572 tamponi. Caserta e Marcianise le città con più positivi






Articolo pubblicato il: 24/06/2021 15:45:51

Questo quanto apprendiamo dall'ASL Caserta

 

ruota il telefono per vedere bene