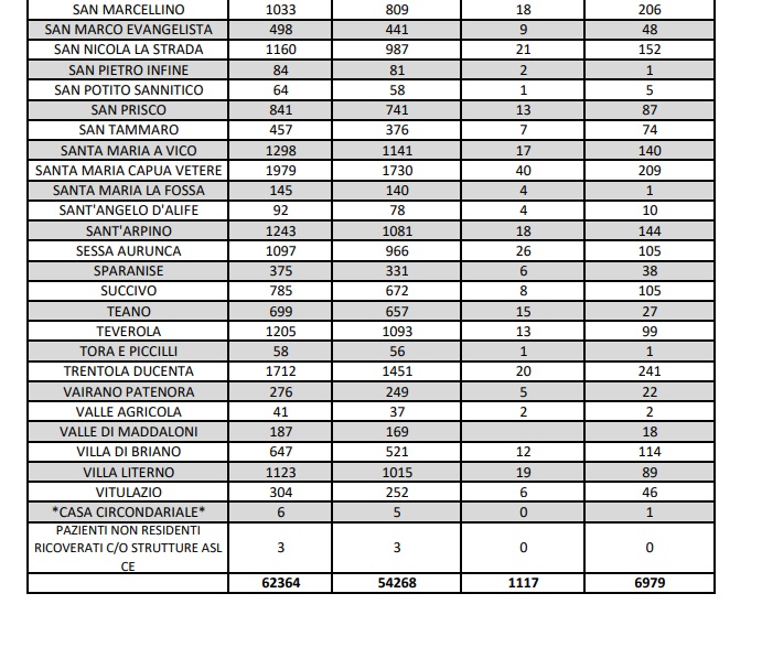
Questa la nota dell'ASL Caserta:
RUOTA IL TELEFONO PER VEDERE BENE




POTREBBE INTERESSARTI ANCHE: 'Dolore nel Casertano. "E' stato un punto di riferimento per tanti. Il più sentito cordoglio"'
GoldWebTV è anche su WhatsApp! Iscriviti al canale per avere le ultime notizie direttamente sul tuo telefonino!